El FMI afirma que el gasto social en España ayuda poco a las rentas bajas y a los jóvenes
Los pensionistas y las clases medias son los más favorecidos. Hace falta mejorar la redistribución enfocándola en los más vulnerables, sostiene un estudio del Fondo Monetario Internacional


Ahora que el nuevo Gobierno ha fijado la política social como una prioridad, el FMI publica este jueves un informe en el que valora la efectividad del gasto social en España. Y considera que existe margen para reordenarlo, coordinarlo entre comunidades y mejorarlo. Se ayuda poco a las rentas bajas y a los jóvenes. En cambio, se favorece a los pensionistas y a las clases medias. Hace falta “mejorar la redistribución enfocándola en los más vulnerables”, concluye. En un contexto de elevada deuda y presiones sobre el gasto por el envejecimiento, el Fondo admite que es necesario elevar los desembolsos en algunas áreas. Pero añade que no basta solo con mejorar el gasto social: también hay que reformar el mercado laboral para acabar con la dualidad entre fijos y temporales.
“Un examen de la eficiencia podría dar mejores resultados por el mismo coste”, sostiene el Fondo Monetario Internacional. El estudio señala que las pensiones suponen la principal partida pública y que son “bastante generosas”. En porcentaje del PIB se gasta en línea con la media de la UE. Sin embargo, según apunta el Fondo, son más altas si se mira cuál es la prestación sobre el salario medio o cuánto se mantiene del último salario. Las de viudedad también están por encima. Como resultado, la pobreza de los mayores es baja. “Los pensionistas han estado bien protegidos de la crisis”, recuerda el organismo con sede en Washington.


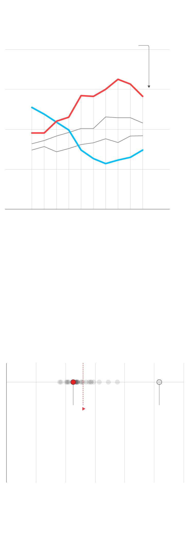
Población en riesgo de pobreza
En porcentaje sobre el total
La pobreza golpea desde la crisis especialmente a los jóvenes
40
30
18-24 años
25-54
20
55-64
Más de 65
10
0
08
09
10
11
12
13
14
16
17
15
¿Cómo afecta el gasto social
a la desigualdad?
Reducción del coeficiente de Gini que se logra al aumentar el gasto social un punto del PIB. El coeficiente de Gini es un indicador de la desigualdad en el que los valores más pequeños indican menor desigualdad.
0
0,5
1,0
1,5
2,5
2,5
3,0
Media UE
1,29
España
Irlanda
La efectividad del gasto social para reducir la desigualdad es menor en España que la media europea
Fuente: Eurostat, EuroMOD.
EL PAÍS

Población en riesgo de pobreza
En porcentaje sobre el total
La pobreza golpea desde la crisis especialmente a los jóvenes
40
30
18-24 años
25-54
20
55-64
Más de 65
10
0
08
09
10
11
12
13
14
16
17
15
¿Cómo afecta el gasto social
a la desigualdad?
Reducción del coeficiente de Gini que se logra al aumentar el gasto social un punto del PIB. El coeficiente de Gini es un indicador de la desigualdad en el que los valores más pequeños indican menor desigualdad.
0
0,5
1,0
1,5
2,5
2,5
3,0
Media UE
1,29
España
Irlanda
La efectividad del gasto social para reducir la desigualdad es menor en España que la media europea
Fuente: Eurostat, EuroMOD.
EL PAÍS

Población en riesgo de pobreza
En porcentaje sobre el total
La pobreza golpea desde la crisis especialmente a los jóvenes
40
30
18-24 años
25-54
20
55-64
Más de 65
10
0
2008
2009
2010
2011
2012
2013
2014
2016
2017
2015
¿Cómo afecta el gasto social a la desigualdad?
Reducción del coeficiente de Gini que se logra al aumentar el gasto social un punto del PIB. El coeficiente de Gini es un indicador de la desigualdad en el que los valores más pequeños indican menor desigualdad.
0
0,5
1,0
1,5
2,5
2,5
3,0
Media UE
1,29
España
Irlanda
La efectividad del gasto social para reducir la desigualdad es menor en España que la media europea
Fuente: Eurostat, EuroMOD.
EL PAÍS
Sin embargo, la institución cree que la sostenibilidad de las pensiones está en riesgo a menos que se tomen medidas. Las reformas de 2011 y 2013 habrían mantenido el gasto controlado a pesar de una demografía adversa, defiende el FMI. Pero a la vez constata que estas medidas no han sido socialmente aceptadas. Y ello a pesar de que la tasa de beneficio que brinda el sistema aún habría superado la de la mayoría de países europeos. Si no se cambia nada, el coste de las pensiones se disparará en tres o cuatro puntos de PIB —hasta en 50.000 millones de hoy—. Implicaría casi triplicar el déficit público. Para poder asegurar las prestaciones de jubilación, el Fondo receta alargar la vida laboral, elevar los ingresos sin aumentar las ya elevadas cotizaciones e incentivar el ahorro complementario.
Por otra parte, el documento considera que las prestaciones contributivas por desempleo son “adecuadas”. Según algunas comparativas, incluso pueden juzgarse “bastante generosas” en la duración y cantidades concedidas. Y su gasto es elevado debido al altísimo paro.
Sin embargo, falta una red que asista cuando fallan estas patas del Estado del bienestar. Se gasta poco en políticas sociales dirigidas a los que están en riesgo de pobreza. Para los que se quedan sin prestación, existe el subsidio de paro nacional y las rentas mínimas de inserción autonómicas. Pero con la crisis se ha endurecido el acceso y “el objetivo de la inclusión social parece haber sido relegado a un segundo nivel de prioridad”, afirma. Además, los resultados de estos programas dependen mucho de la capacidad de los servicios de empleo regionales para proveer una asistencia personalizada. Y esta ha sido muy desigual por comunidades, subraya.
Las ayudas de renta mínima apenas consiguen acercar los ingresos de los beneficiarios al 30% de la renta media disponible, salvo en unas pocas comunidades. Y la cobertura se queda muy por debajo de los hogares que lo necesitan. En muchas autonomías solo cubren entre el 1% y el 3% de las familias. En opinión del FMI, la debilidad de estos esquemas de protección radica en que no se pondera bien factores como si el hogar es monoparental, el número de hijos, las discapacidades o la necesidad de vivienda. Se entregan pocos beneficios a los niños que lo necesitan, lamenta. Para colmo, la administración de estas ayudas tiene reglas complejas, carece de requisitos claros de elegibilidad y se enfrenta a dificultades para determinar los verdaderos ingresos, en una velada referencia a la abundante economía sumergida.
En definitiva, el gasto está por debajo del de países similares en la lucha contra la exclusión social, en las ayudas a las familias y en las políticas de vivienda. Y “la asistencia social no ha sido del todo efectiva a la hora de aliviar la pobreza”, dice. El FMI destaca que España tiene una ratio elevada de niños en riesgo de pobreza y que un número importante de parados y gente con baja formación se concentra en el sur.
“Mientras que las pensiones y el sistema contributivo de desempleo permanecen centralizados, el resto de la protección social se ha convertido en un complejo mosaico de redes de apoyo en diferentes niveles debido, sobre todo, a su estructura descentralizada”, recalca. Y añade que hay grandes diferencias en las rentas mínimas por comunidades, en parte por el coste de la vida y en parte por decisiones políticas.
En general, se da una escasa redistribución y la desigualdad se corrige poco tras los impuestos y transferencias sociales en comparación con otros países. Las pensiones “tienen como objetivo mantener los ingresos del beneficiario” y, por tanto, redistribuyen poco al preservar las rentas de los que ya tienen. Y lo mismo sucede con las prestaciones de paro: abonan más cuanto más se haya trabajado y ganado. El informe asegura que “las clases medias tienden a ganar de la redistribución en una proporción igual o mayor que las rentas bajas”. Y otro dato fruto de no condicionar lo suficiente las ayudas a la renta: el 40% más pobre solo recibe un 30% de los beneficios a las familias.
"Las pensiones son las que ayudan a sostener los ingresos de las familias y no las ayudas sociales", explica Svetlana Vtyurina, autora del informe. El Fondo denuncia que se está creando un problema intergeneracional en la medida en que gracias a las pensiones públicas la redistribución es mejor para los mayores. A los jóvenes se les deja en una situación de desventaja, asevera. Y agrega que mantener tal nivel de prestaciones de jubilación sin hacer reformas no es sostenible y se produciría a costa de unos jóvenes ya perjudicados.
La renta mínima que propone la Autoridad Fiscal puede ser una solución. Pero a juicio del FMI debe compaginarse antes con una revisión del conjunto que consiga ganar en eficiencia, eliminar solapamientos y coordinar a las comunidades. Y cualquier aumento del gasto debe ser financiado de manera sostenible, indica. A diferencia de lo que sucede en otros países, en España hay una escasa financiación privada de estas políticas, en particular en pensiones y sanidad.
Educación, sanidad y reforma laboral
En cuanto a la sanidad pública, presenta unos buenos resultados, contribuye a la equidad y muestra una gran eficiencia en el gasto, si bien existen algunas disparidades regionales. El FMI resalta que el sistema de copagos en las medicinas penaliza a los trabajadores de rentas bajas, que no reciben la ayuda que sí obtienen los pensionistas con ingresos similares.
Pese a que la educación debe asegurar la igualdad de oportunidades, el gasto es relativamente bajo y sus resultados son peores que en otros países europeos. Además, hay barreras a la movilidad intergeneracional: el 55% de los hijos de padres con formación baja no consiguen mejorar el grado de educación de sus progenitores y no llegan a aprobar la secundaria. El abandono escolar es uno de los más altos de la OCDE y los universitarios tienen dificultades para encontrar empleos adecuados a sus estudios, señala el informe. También incide en que persisten las diferencias regionales y que la calidad del profesorado debería mejorarse. El Fondo recuerda que los desacuerdos políticos han detenido las reformas en esta materia. Y que las políticas para reciclar y reincorporar parados tampoco son particularmente efectivas.
En resumen, los más vulnerables son los que menos apoyo reciben. Pero el gasto social no debe ser la única herramienta, advierte la institución que dirige Kristalina Georgieva. Es esencial hacer más inclusivo el mercado laboral. “La gran diferencia en los costes de despido entre fijos y temporales continúa siendo la causa de que las empresas ofrezcan pocos contratos indefinidos”, dice el análisis. Y recomienda que se acorten esas diferencias sin aumentar las indemnizaciones. Para hacerlo argumenta que puede desarrollarse la mochila austriaca que propone la vicepresidenta Nadia Calviño: una cuenta personal del trabajador en la que la empresa abonaría una parte del despido por adelantado y que el empleado puede llevarse consigo.
Tu suscripción se está usando en otro dispositivo
¿Quieres añadir otro usuario a tu suscripción?
Si continúas leyendo en este dispositivo, no se podrá leer en el otro.
FlechaTu suscripción se está usando en otro dispositivo y solo puedes acceder a EL PAÍS desde un dispositivo a la vez.
Si quieres compartir tu cuenta, cambia tu suscripción a la modalidad Premium, así podrás añadir otro usuario. Cada uno accederá con su propia cuenta de email, lo que os permitirá personalizar vuestra experiencia en EL PAÍS.
¿Tienes una suscripción de empresa? Accede aquí para contratar más cuentas.
En el caso de no saber quién está usando tu cuenta, te recomendamos cambiar tu contraseña aquí.
Si decides continuar compartiendo tu cuenta, este mensaje se mostrará en tu dispositivo y en el de la otra persona que está usando tu cuenta de forma indefinida, afectando a tu experiencia de lectura. Puedes consultar aquí los términos y condiciones de la suscripción digital.
Sobre la firma



































































