La movilidad laboral crece al menor ritmo desde 2014
El número de asalariados que se desplazó de una comunidad a otra en 2018 fue un 3,3% mayor que el año anterior

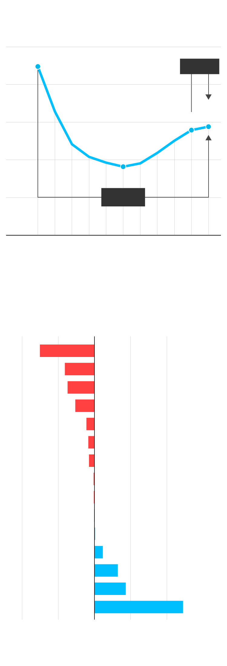
La tendencia se confirma, aunque pierde impulso. Los grandes polos como Madrid y Cataluña siguen atrayendo a trabajadores de otras regiones menos prósperas. El número de asalariados que se desplazó de una comunidad a otra a lo largo del año pasado fue el más alto en nueve años, con 144.145 personas, según la última estadística difundida este martes por la Agencia Tributaria. Pero, al igual que la economía en su conjunto, también este indicador pierde fuelle.

El número de trabajadores que hizo las maletas para buscar oportunidades en otra región española a lo largo de 2018 fue el más alto en nueve años: 144.145 personas optaron por desplazarse, según las últimas estadísticas de movilidad del mercado del trabajo publicadas este martes por la Agencia Tributaria —que no incluye las comunidades forales de Navarra y País Vasco—. El dato confirma la buena marcha de la economía en general y la consecuente recuperación del mercado laboral. Pero con un matiz: el crecimiento en la cifra de empleados que se mudó de autonomía durante el año pasado fue del 3,3% sobre el anterior, el ritmo más bajo desde 2014.
El comportamiento de la movilidad laboral suele ir aparejado a la evolución económica. Tras tocar fondo en 2013, los desplazamientos de trabajadores de una región a otra fueron creciendo en los últimos años a un ritmo cada vez más sostenido a medida que la economía recobraba fuerzas, aunque nunca volvieron a alcanzar los niveles del boom del ladrillo. En 2006, hubo 237.886 personas que se mudaron por motivos laborales.
La que apenas cambió fue la dinámica. Madrid y Cataluña eran y siguen siendo las regiones que tienen el mejor saldo —entradas menos salidas— según la estadística de Hacienda, que solo tiene en cuenta a los asalariados.


Evolución del número
de desplazados
En miles de personas.
250
237,9
+3,3%
200
144,1
150
139,6
100
91,0
50
-35,7%
0
2008
2013
2017
2018
Saldo de desplazamientos
Saldo resultante entre las personas que salen y llegan en cada Comunidad Autónoma.
0
-9.048
Andalucía
-4.911
Castilla y León
-4.454
Castilla - La Mancha
-3.185
Extremadura
-1.331
Galicia
-1.023
Asturias
-911
Com. Valenciana
-146
Aragón
-105
Cantabria
-50
Murcia
La Rioja
+89
Canarias
+1.371
Baleares
+3.861
Cataluña
+5.173
Madrid
+14.670
Fuente: Agencia Tributaria
EL PAÍS

Evolución del número de desplazados
En miles de personas.
250
237,9
+3,3%
200
144,1
150
139,6
100
91,0
50
-35,7%
0
2008
2013
2017
2018
Saldo de desplazamientos
Saldo resultante entre las personas que salen
y llegan en cada Comunidad Autónoma.
0
-9.048
Andalucía
-4.911
Castilla y León
-4.454
Castilla - La Mancha
-3.185
Extremadura
-1.331
Galicia
-1.023
Asturias
-911
Com. Valenciana
-146
Aragón
-105
Cantabria
-50
Murcia
La Rioja
+89
Canarias
+1.371
Baleares
+3.861
Cataluña
+5.173
Madrid
+14.670
Fuente: Agencia Tributaria
EL PAÍS

Evolución del número de desplazados
En miles de personas.
250.000
237.886
+3,3%
200.000
144,1
150.000
139,6
100.000
91,0
50.000
-35,7%
0
2008
2009
2010
2011
2012
2013
2014
2015
2016
2017
2018
Saldo de desplazamientos
Saldo resultante entre las personas que salen y llegan en cada Comunidad Autónoma.
0
Andalucía
-9.048
-4.911
Castilla y León
-4.454
Castilla - La Mancha
-3.185
Extremadura
-1.331
Galicia
-1.023
Asturias
-911
Com. Valenciana
-146
Aragón
-105
Cantabria
-50
Murcia
La Rioja
+89
Canarias
+1.371
Baleares
+3.861
Cataluña
+5.173
Madrid
+14.670
Fuente: Agencia Tributaria
EL PAÍS
En 2018, Madrid vio cómo 26.269 trabajadores abandonaban la comunidad, pero a la vez fue el destino elegido por 40.939 empleados. 8.616 de ellos procedían de Castilla-La Mancha, en lo que supuso el mayor trasvase de toda la estadística de una región a otra. Cataluña, por su parte, recibió a 19.225 empleados de otras autonomías, frente a los 14.052 que se fueron, la mayoría de ellos hacia Madrid. Aun así logró un balance positivo en más de 5.000 personas. También tuvieron saldos positivos las islas (Canarias y Baleares), gracias al empujón del turismo y, en menor medida, La Rioja.
La tendencia es clara y apunta a un patrón que no es exclusivo de España: la concentración de trabajadores en territorios con mayor dinamismo económico, es decir, Cataluña y Madrid, frente a las zonas más estancadas. El ejemplo más claro lo ofrece Extremadura: la comunidad con las rentas más bajas de España presenta el peor ratio entre llegadas y salidas. Esta autonomía tuvo un saldo negativo de 3.000 asalariados a lo largo del año pasado, lo que supone un 0,9% sobre el total de los trabajadores que se quedaron.

Traslados entre CC AA
200
500
1.000
3.000
Llegan a...
And.
Ara.
Ast.
Bal.
Can.
Cant.
CyL
CLM
Cat.
CVal.
Ext.
Gal.
Mad.
Mur.
Rio.
Se van
de...
And.
Ara.
Ast.
Bal.
Can.
Cant.
CyL
CLM
Cat.
CVal.
Ext.
Gal.
Mad.
Mur.
Rio.
Fuente: Agencia Tributaria.
EL PAÍS

Traslados entre comunidades autónomas
200
500
1.000
3.000
Llegan a...
And.
Ara.
Ast.
Bal.
Can.
Cant.
CyL
CLM
Cat.
CVal.
Ext.
Gal.
Mad.
Mur.
Rio.
Se van
de...
And.
Ara.
Ast.
Bal.
Can.
Cant.
CyL
CLM
Cat.
CVal.
Ext.
Gal.
Mad.
Mur.
Rio.
Fuente: Agencia Tributaria.
EL PAÍS

Traslados entre comunidades autónomas
200
500
1.000
3.000
Llegan a...
Andalucía
Aragón
Asturias
Baleares
Canarias
Cantabria
C. y León
C.-La Mancha
Cataluña
C. Valenciana
Extremadura
Galicia
Madrid
Murcia
La Rioja
Se van de...
Andalucía
Aragón
Asturias
Baleares
Canarias
Cantabria
C. y León
C.-La Mancha
Cataluña
C. Valenciana
Extremadura
Galicia
Madrid
Murcia
La Rioja
Fuente: Agencia Tributaria.
EL PAÍS
Una suerte parecida y que se repite un año más le tocó a Castilla y León y Castilla-La Mancha. El balance entre entradas y salidas fue en ambas regiones negativo en más de 4.000 personas. La mayoría de ellas salieron hacia Madrid.
También el grueso de los trabajadores de Andalucía que decidió hacer las maletas para mudarse a otra comunidad acabó instalándose en la capital: 8.402 personas, frente a las 3.998 que optaron por Cataluña. Andalucía, después de Madrid, es la región que más flujos registra en salidas, y la tercera en entradas, después de Cataluña. Pese a ello no logró que el saldo fuera positivo: 23.546 personas abandonaron la comunidad frente a las 14.498 que, al contrario, se desplazaron allí por motivos laborales. El resultado es un balance neto negativo de más de 9.000 personas, el más alto en términos absolutos.
Los más jóvenes se desplazan a Madrid
Madrid también fue la autonomía que acogió a más jóvenes: 4.524 menores de 26 años la escogieron como destino laboral a lo largo de 2018. La mayoría de ellos llegaron de Andalucía, Castilla-La Mancha y Castilla y León, en este orden y en línea con el patrón migratorio del resto de los trabajadores de estas tres regiones que decidieron desplazarse. Cataluña fue la segunda comunidad que más jóvenes recibió, casi 2.000, pero su procedencia fue algo distinta. Aunque el grueso llegara de Andalucía, las otras dos comunidades que presentaron el mayor trasvase de trabajadores a favor de Cataluña fueron Madrid y la Comunidad Valenciana.
Tu suscripción se está usando en otro dispositivo
¿Quieres añadir otro usuario a tu suscripción?
Si continúas leyendo en este dispositivo, no se podrá leer en el otro.
FlechaTu suscripción se está usando en otro dispositivo y solo puedes acceder a EL PAÍS desde un dispositivo a la vez.
Si quieres compartir tu cuenta, cambia tu suscripción a la modalidad Premium, así podrás añadir otro usuario. Cada uno accederá con su propia cuenta de email, lo que os permitirá personalizar vuestra experiencia en EL PAÍS.
¿Tienes una suscripción de empresa? Accede aquí para contratar más cuentas.
En el caso de no saber quién está usando tu cuenta, te recomendamos cambiar tu contraseña aquí.
Si decides continuar compartiendo tu cuenta, este mensaje se mostrará en tu dispositivo y en el de la otra persona que está usando tu cuenta de forma indefinida, afectando a tu experiencia de lectura. Puedes consultar aquí los términos y condiciones de la suscripción digital.
Sobre la firma




































































